DATA ANALYSIS

The data analysis represents the number one difficulty of the ion-beam analysis technology, even more challenging than the technical implementation of the devices. The complex physics discussed in the technology section together with the large amount of information obtained by the method draw responsible for this challenge. Data analysis has to combine multiple detector signals, defold the ion energy-loss S, the reaction cross-sections sigma, and the sample structure. In many cases several solutions are possible or, in other words, different samples would result in identical data. Our analysis setups are designed to avoid those situations by providing exact geometries and superior resolution in addition to either focussing on specific questions or combining an appropriate set of detectors and analysis conditions. This self-consistent evaluation potentially yields credible results, but the evaluation remains complex and numerous input quantities potentially build up a large pile of uncertainties. Consequently, the design and accuracy of an ion-beam analysis setup becomes an integral part required for enabling a credible and automated data evaluation.

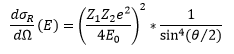
In this case usually the nuclear reaction cross-sections limit the result accuracy. Numerous scientific groups work on the determination of reaction cross-sections and we can provide any cross-sections relevant for your application through our scientific network. The IAEA gathers their input in the IBANDL together with evaluations and semi-empirical fits. Only in the case of RBS, an accurate theoretical model, the Rutherford cross-section, exists. The Rutherford cross-section strongly depends on the projectile energy E0, the involved nuclear charges Z, and the detector reaction angle theta:

The kinematics of nuclear reactions imply a high relevance of distances, angles, and their respective accuracy for the measurement result. The Rutherford cross-section scales with the 4th power of the sine of the reaction angle, hence already minute inaccuracies induces relevant errors to the measurement. The given reaction probability W for every incident projectile then calculates from

From this it cannot be separated whether inaccuracies originate from E0, theta, sigma, S, or the material concentrations rho. Consequently, the input data and the end-station quality become determining factors for the result quality and the possibility for a consistent evaluation of all obtained data.

Only a few people mastered the task of data analysis with common software tools such as GUPIX, SimNRA, or Datafurnace. These codes implement the physics of the analysis process, but they require human interaction for providing reasonable starting conditions and assesing uncertainties. Consequently, operation and data evaluation of IBA requires experienced scientists and significant resources. Our IBA-AI evaluation software brings this knowledge to your lab in the form of an integrated software. Our software is based on established physics, but covers the above mentioned fundamental weaknesses via integration into an AI framework. This framework is trained to provide close to final solutions with subsequent fine-tuning by numerical fitting algorithms. The training evaluates millions of conditions and variations of important parameters and combines the known properties of our setups with state-of-the art input data.

Aachen Ion Beams UG
MeV ion µ-beam analysis by RBS, NRA, ERD, PIXE, and PIGE, irradiation technologies, engineering services
E-Mail
Infos